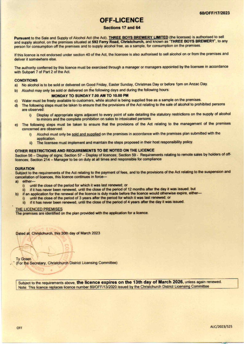
Licence/Online Shop Sales
As per the Sale and Supply of Alcohol Act 2012, we do the following to meet our requirements relating to remote sales of alcohol:
The licence holder’s name, licence number and licence expiry date are displayed here as well as on any receipt issued for a remote sale.
A legible image of our licence is displayed on this internet site used to sell alcohol.
We take reasonable steps to verify that both the buyer and the receiver of any alcohol sold are 18 years old or over, by requiring anyone entering our site to tick an on screen box to confirm that they are over 18, as well as asking the buyer to tick an on screen box declaring that they are of 18 years of age or over immediately before the sale of any alcohol is completed. The courier driver may ask the receiver to produce ID to verify their age.
